Globorotalia menardii (d'Orbigny, 1865)


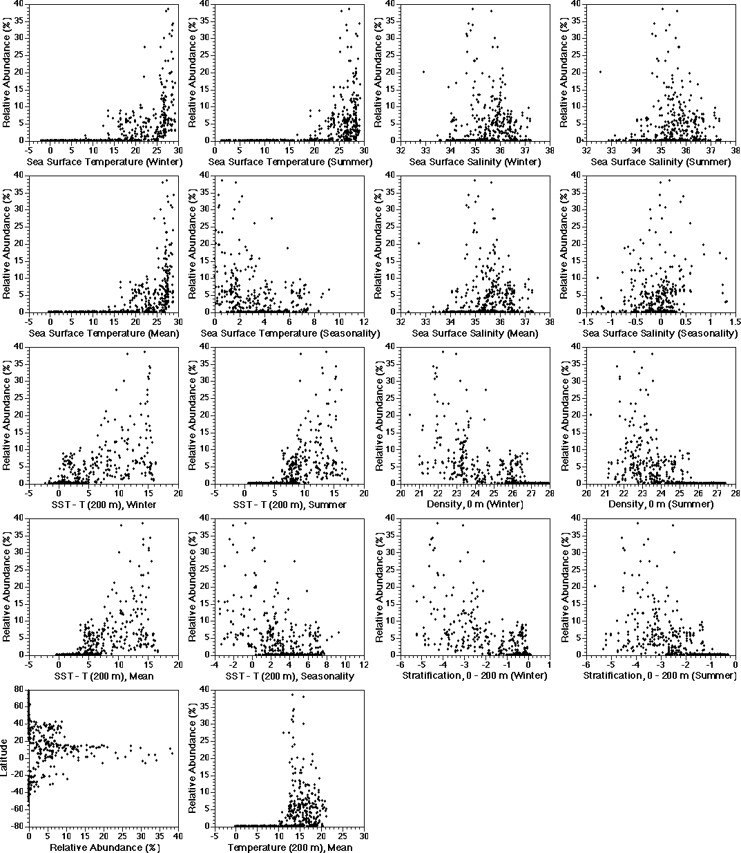
Globorotalia menardii (Fig. 22) occurs in subtropical and tropical water masses with a clear maximum in relative abundances in equatorial and tropical environments. Preferences are pronounced for warm sea surface temperatures and normal marine salinities. Relations with higher vertical temperature gradients and stratification, and lower surface water density are broad and can be expected from the warm habitats of this species. The preference for tropical environments would have lead to expect this species in more stratified water masses which is not the case (see Schweitzer and Lohmann, 1991). The presence of a calcite crust and oxygen stable isotopes suggest a vertical migration of this species to greater depths during its ontogenetic cycle (Fairbanks et al., 1980, 1982; Fairbanks and Wiebe, 1980; Hemleben et al., 1977, 1985). This may also be expressed in the close relationship of relative abundances and temperatures at 200 m depth.


51 kB


Figure 22: Globorotalia menardii (d'Orbigny, 1865). Plots of relative abundance vs. selected physical parameters and latitude. For preferences in numeric form see appendix.



back to species list
access to all figures and tables